This article discusses the design of wide band
audio phase shift networks with active analog realizations. The approximation
to linear phase shift in analog networks is not a trivial endeavor as will
be seen. This paper gives the designer a technique in which to create the
filter with modern computing techniques. The result is a high quality,
multi-order active Allpass filter network which finds applications of all
types of audio phasing including Single, and Independent Sideband exciters
and synchronous detectors.
One of the simplest lopass filters is the RC combination as shown in Figure 1. This filter [1] when swept with frequencies through a range produces a total phase shift of 90 degrees, of which the output will be exactly 45 degrees out of phase with it's input, at it's corner frequency (fo). The voltage at the output terminals will also be about 70 % of the level originally applied by the generator, at this frequency, fo. For wideband phase shift networks used in Sideband generation, it is necessary to obtain a 90 degree phase shift over many octaves of frequency. Not just one frequency as shown in Figure 1. The network must also have the characteristic of flat magnitude response over the frequency range of interest.

Figure 1 Low Pass Filter
The filter shown in Figure 1 is a simple passive
network but can also be implemented actively as shown in Figure 2. This
filter has the same response, within the band of interest, as the passive
filter shown in Figure 1 except for a phase inversion, assuming the operational
amplifier used has sufficient bandwidth and gain at audio frequencies.
If a modification to this circuit is made as shown
in Figure 3, the transfer function of [2] becomes [3]. The magnitude response
of this filter is constant unlike that of the low pass filters in Figures
1 & 2, however the phase still varies. This is called an active Allpass
filter. It is called Allpass for its ability not to effect the amplitude
of the signal but modify only the phase of the signal. The same network
can be realized in a passive configuration. However because of the network
complexity it is felt that the filter, for large order networks, can better
be implemented in an active form.
Figure 2 Active Low Pass Filter
If a modification to this circuit is made as shown in Figure 3, the transfer function of [2] becomes [3]. The magnitude response of this filter is constant unlike that of the low pass filters in Figures 1 & 2, however the phase still varies. The phase response of the filter lags the input by 180 degrees over the response of the filter. The phase response is –90 degrees out of phase with input at the corner frequency of 672 Hz as shown in Figure 3B. This is called an active Allpass filter. It is called Allpass for its ability not to effect the amplitude of the signal but modify only the phase of the signal.
Figure 3A Allpass Filter
While this network generates 90 degrees of phase
shift, it is still only 90 degrees at one frequency. In order to obtain
a 90 degree phase shift at more than one frequency two networks called
a Hilbert Transformer need to be employed, as shown in the block diagram
of Figure 4. Here two Allpass filters are used in parallel. The two networks
have identical characteristics accept that the corner
Figure 3B Allpass Filter Phase
frequencies are spaced such that their outputs are in quadrature (-90 degrees to each other) over a range of frequencies as is seen in the phase plot. The output magnitudes of the two networks are the same, only the phase varies. In order to obtain the desired specification, a number of sections need to be cascaded in such a way that the two networks track each other in phase across the frequency band of interest while maintaining a unity amplitude.
Figure 4 Two 6th order cascaded active Allpass filter networks in parallel known as a
Hilbert Transformer
So this means that applying any frequency between
20 and 20,000 Hz, to this network, will yield two outputs of the same frequency
and amplitude as the input but differing in phase to each other by 90 degrees.
This can only be approximated. An exact phase shift of 90 degrees across
a wide band of frequency is not possible with analog realizations. The
approximation can be pretty good though. The network of Figure 5 achieves
less than 1 degree phase distortion from 20 to 20,000 Hz. In order to achieve
this I utilized an old technique developed by Bedrosian1, implemented
on a modern computer. Bedrosian realized a method for determining the pole
frequencies such that these two filter networks would track each other
in phase. He looked at the behavior of Elliptic Functions and found that
they were not unlike the phase response necessary to accomplish the wideband
phase shift network necessary for the Hilbert Transform. The paper1
lists the output of the Elliptic Functions in tabular form. We will develop
here an approximate solution using the Complete Elliptic Integral.

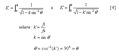
Since 90 degrees is the phase shift we are after,
theta prime and theta are set equal to each other. And fl
& fh are the upper and lower bounds of the frequency
range for the filter design. It is a good assumption to make that the more
filter sections you have the better the approximation of the desired phase.
An estimation of filter order is made in 1 however, I was not
able to get this to match the filter order required to obtain the desired
phase accuracy. As a result I have not included that derivation here. I
estimated the filter order by empirical solution of a Mathcad program I
wrote to solve these functions. Equation [4] shows the Elliptic functions
used in the derivations of the tables in the Bedrosian paper.
where: n is the total filter order
and i goes from 0 to n-1
The last equation [7] contains the poles of the
filter indexed by i with fl & fh representing
the lower and upper bounds of the frequency passband of the filter respectively.
Equation 5 denotes q, a factor developed by the Elliptic Integral.
where:
Equations 8 & 9 culminate the development of the derivation into two 6th order filter functions. [8] is the –90 degree network function of Figure 4, and contains the poles of even order denoted as the subscript i. [9] is the –180 degree network function of Figure 4, and contains the odd order poles as denoted by the subscript i. The range variable i goes from 0 to 11.
Table 1 contains the design values for the two
Allpass networks. Once again referring to Figure 4, the even order i’s
belong to the –90 degree network, and the odd order i’s belong to the –180
degree network. A word of caution should someone want to build this circuit.
While this circuit can provide great phase stability, it is dependent on
the use of highly precise resistors and capacitors with controlled temperature
coefficients. It is recommended that RNC55 type resistors or equivalent,
be used with 0.5 % tolerance & 100 ppm (parts per million per degree
C).
| i |
|
|
|
|
| 0 |
|
|
|
|
| 1 |
|
|
|
|
| 2 |
|
|
|
|
| 3 |
|
|
|
|
| 4 |
|
|
|
|
| 5 |
|
|
|
|
| 6 |
|
|
|
|
| 7 |
|
|
|
|
| 8 |
|
|
|
|
| 9 |
|
|
|
|
| 10 |
|
|
|
|
| 11 |
|
|
|
|
* t is equal
to 1/woi
Table I
Figure 5 Audio Allpass Filter Network
The circuit for the Allpass Filter Network developed
in this article is shown in Figure 5. This circuit will produce two outputs,
which will remain 90 degrees out of phase with each other from 20 Hz to
20,000 Hz with a phase error of less than +/- 1 degree. This circuit can
be used in conjunction with the
Independent Sideband Synchronous Detector mention
in this technical section. Another Allpass Filter Network designed by Chuck,
W3FJJ2 is shown in Figure 6. This filter network is designed
in the same manner. It is simpler with only 8 amplifiers as opposed to
the twelve used above. Its effective passband is from 100 Hz to 10000 Hz
with phase error less than +/- 1 degree. Both circuits will pass the signal
with unity gain. For Amateur Radio use the simpler network of Figure 6
may be all that is necessary and therefore may pose a better solution to
the filter problem in the analog domain.
Figure 6 W3FJJ Audio Allpass Filter Network
Figure 7
As mentioned in the other articles in this technical section, the way top do this is with a Digital Signal Processor (DSP) and a high order FIR filter. Equation [10] shows the transfer function of such a filter, which I have utilized, with the use of a DSP. The filter design is a digital Hilbert Transformer implementing a Hanning Window on a 256 point FIR Dual Low Pass Filter. The phase response of this filter is shown in Figure 7, and will be the subject of a future article. Stay Tuned!